
- 拓扑约束
- KVL:
- KCL:
- 元件约束
列写方程:
定义:,,得:
特征方程为
判别式为
特征根为
根据判别式的情况,微分方程的解为:
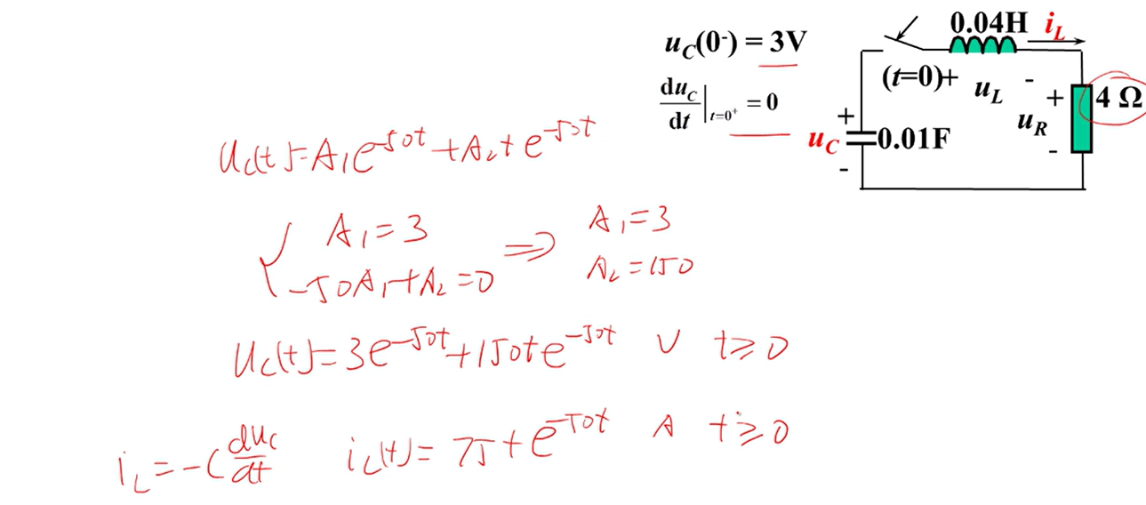
过阻尼情况: ( 即 ) 时
临界阻尼情况: 当 ( 即 ) 时
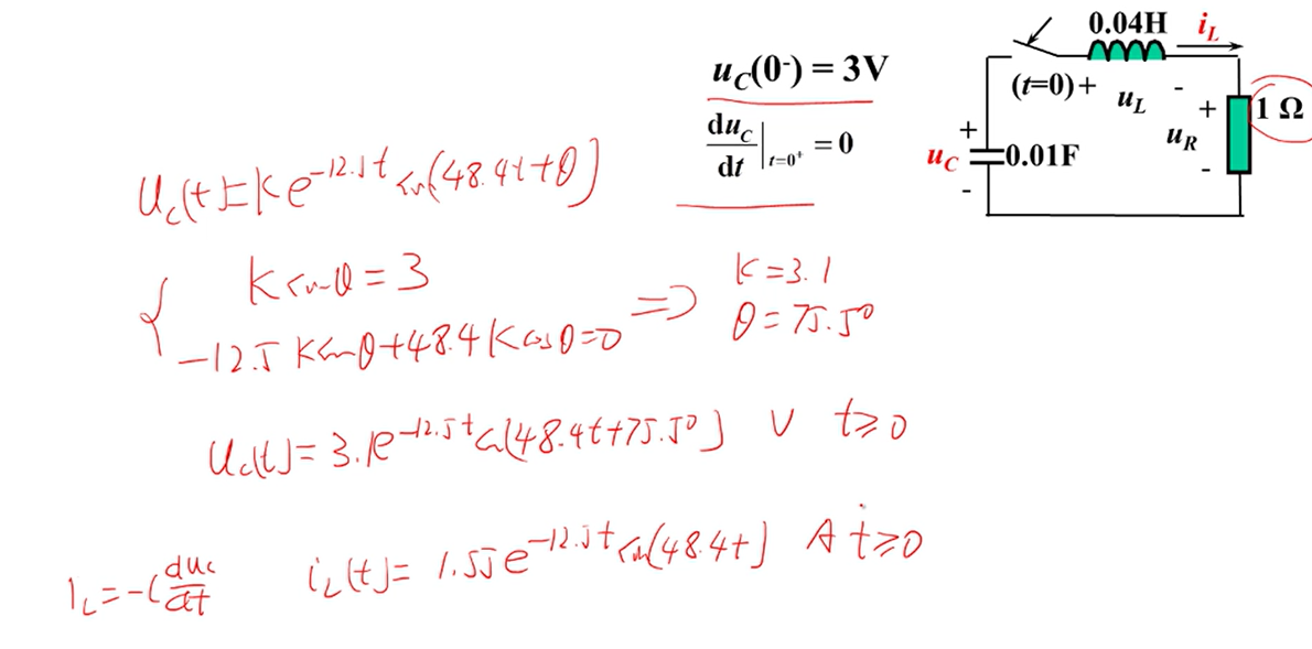
欠阻尼情况: ( 即 ) 时
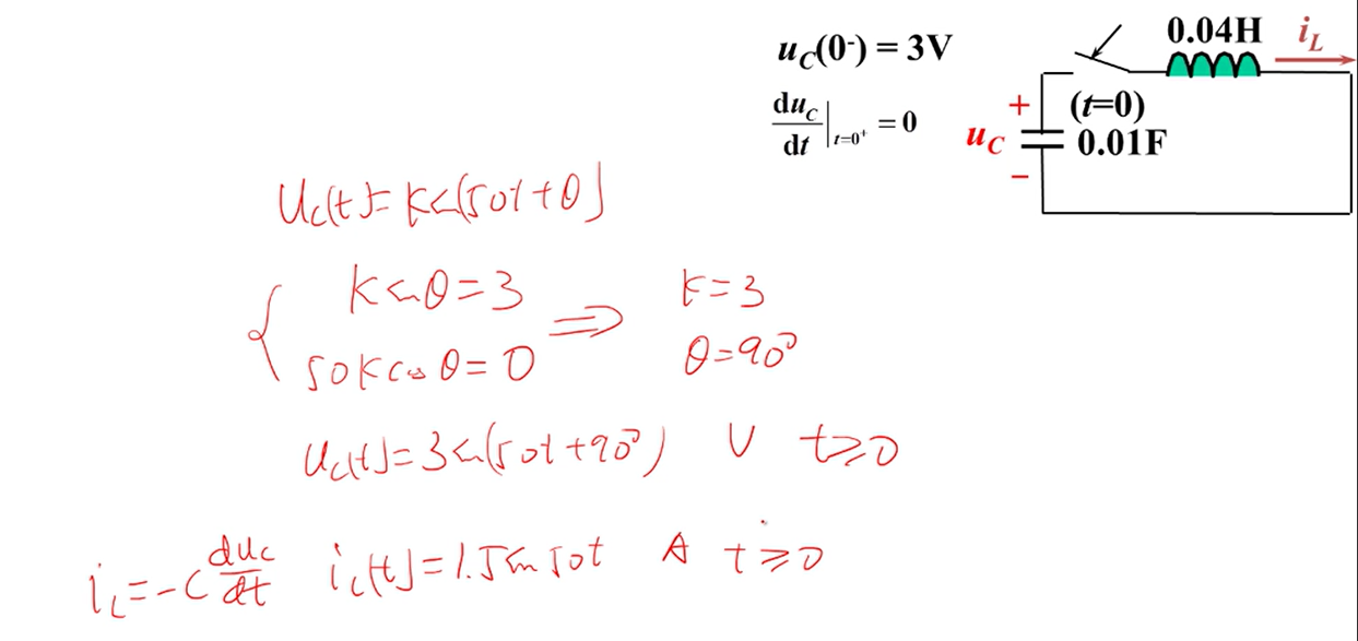
零阻尼情况: ( 即 ) 时
根据拓扑约束和元件约束写出微分方程;根据特征方程的解写出微分方程的通解形式。

分析计算电路支路量的初值和一阶导,据此求解通解的待定系数。

绿色为电容电压、红色为电感电流


绿色为电容电压、红色为电感电流


绿色为电容电压、红色为电感电流


绿色为电容电压、红色为电感电流

红、绿、蓝、紫分别为过阻尼、临界阻尼、欠阻尼、零阻尼情况下的电感电流。
