系统化方程解法
系统化方程解法
支路电流法(列写B个方程)
理解
只需要根据拓扑约束列写 B 个方程,本质上,就是不用列写元件约束的 2B 法
步骤
- b=支路数 n=节点数
- 对每个支路电流确定参考方向
- 选择 n-1 个节点列写 KCL 方程
- 选择 b-n+1 个回路列写 KVL 方程
- 解方程,求出各个支路的电流
- 通过元件约束和支路电路求出支路电压

独立方程的选取
- 节点:任选 n-1 个节点列写的 KCL 方程都是独立的
- 网孔:
- 对于平面电路,通过网孔列写的 KVL 方程都是独立的
- 对于所有电路,要求每个新回路,至少包含一条新支路
案例

节点电压法(列写(N-1)个KCL方程)
步骤
- 选择一个节点作为参考点
- 对剩余的 n-1 个独立节点标记节点电压
- 对剩余的 n-1 个独立节点列写 KCL 方程
- 流出节点电流之和=流入节点电流之和
- 特别规定:
- 列写时,
- 电阻电流写在等号左侧,流出节点为正
- 电源电流写在等号右侧,流入节点为正
案例

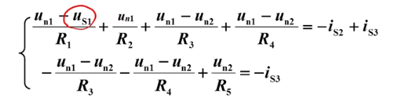
节点电压法方程的标准形式

标准形式方程中各物理量的实际含义
表示的是节点 1 和 参考点之间 的自电导 表示的是节点 1 和 节点 2 之间的互电导 表示的是流入节点 1 的电流源的和 表示的是节点 2 和 节点 1 之间的互电导 表示的是节点 2 和 参考点之间 的自电导 表示的是流入节点 2 的电流源的和
对一般形式电路的推广:根据物理含义直接写出方程
对于 n 个独立的节点

- 是自电导
- 是所有连接在节点 i 上的电阻(包括电压源和电阻串联支路中的电阻)的和,
- 始终为正
、- 互电导
- 其绝对值是所有连接在节点 i 和节点 j 之间的电阻的和
- 始终为负
- 如果电路中不含有受控源,则方程的系数矩阵是对称的,即:
- 是流入节点 ni 的电流源(包括等效自电压源和电阻的电流源)的算数和
特殊情况 1:支路上含有电压源和电阻串联的情况
电路图
列方程
写成标准形式
可以发现,这就是一个等效的电流源

结论,直接将其等效为一个电流源和电阻的并联,这将不会影响电路中任何支路量的求解
特殊情况 2:支路上仅含有电压源的情况
解法 1:
图
假设电压源所在支路上存在一个电流 I,然后列写方程
由于出现了四个未知量,所以需要四个方程,
所以补充一个电压源和节点电压的关系的方程来求解

解法 2:(仅针对于这种电压源只有单个的电路)
选取一个合适的参考点
这样可以直接解出一个节点的电压
此时,还剩两个节点电压,就只需要再列两个方程
特殊情况 3:支路上含有受控源的情况
处理方法:把受控源当做独立源对待列写方程,并在最后用节点电压来表示这个受控源的控制量。

把受控源当做独立源对待列写方程
由于出现了三个未知数,所以需要三个方程,
所以需要用节点电压来表示这个控制量
回路电流法(列写B-(n-1)个KVL方程)
B-(N-1)就是独立回路的数量
注意
- 回路电流是假想的电流
- 电路的实际电流可以用回路电流表示
- 不在需要KCL方程的原因是回路电流本质是实际支路电流的一个分量,当要求实际电流是,还是要用KCL
步骤
- 选取电路中的B-(N-1)个回路标记回路电流方向
- 列写KVL方程
- 回路电压降=0
- 回路电压降=回路电压升
- 回路电压降=0
- 求出回路电流后,实际电流就可以用回路电流表示

例题

化简

标准形式的回路电流方程

标准方程的物理含义
- R_11 = R_1+R_2 = 回路1的电阻总和,称回路1的自电阻
- R_22 = R_2+R_3 = 回路2的电阻总和,称回路2的自电阻
- R_12 = -R_2 = 回路1和回路2的互电阻,由于回路电流1和回路电流2方向相反所以为负
- R_21 = -R_2 = 回路2和回路1的互电阻,同理,为负
- Usl1 = Us1-Us2 = 沿着回路1的电压升
- Usl2 = Us2 = 沿着回路2的电压升
推广到一般形式
- R_kk 是回路自电阻
- R_jk 是回路j和k的互电阻
- 两回路电流方向相同,R_jk>0
- 两回路电流方向相反,R_jk<0
- 两回路没有互电阻,R_jk = 0

网孔电流分析法(特殊的回路电流分析方法)
对于平面电路,选择网孔列些回路电流方程,回路电流就成了网孔电流,方程就是网孔电流方程。
特殊情况1:含有独立电流源的支路
问题
独立电流源上的电压由外电路决定,无法表示

解决方法1
假设其上电压为U,
然后由于多了一个未知量,所以要再找一个方程。

解决方法2
在选择回路时,尽量让回路电流直接等于电流源电流
这样还可以少列写一个方程

特殊情况2:含有受控源的情况
解决方法1
把受控电压源当成独立电压源列些方程,但要找到其上电压和支路电流的关系方程

总结
支路电流法、节点电压法、回路电流法所需列写方程个数总结

对于非平面电路来说,选择独立回路比较困难,选择独立节点比较简单,所以列写方程时应该采用节点电压法