零输入响应和零状态响应
2024/12/12大约 2 分钟
零输入响应和零状态响应
几种不同的视角
电路的非齐次常系数线性常微分方程
纯数学角度:
一阶电路经典法角度:
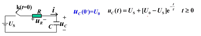
一阶电路三要素法角度:
叠加定理角度:
案例

零状态响应
独立源作用,储能元件不作用(零状态、无初值)(电容无电压,电感无电流)

零输入响应
储能元件作用(有初值),独立源不作用

全响应

本质
- 叠加定理。
- 把一个既有独立源作用,又有带初值储能原件作用的电路,
- 看成是他们分别作用的叠加。
优点
- 在零状态下,储能原件的电压电流的微分、积分关系是线性关系。
- 当其电压电流关系为线性关系时,就可以使用叠加定理进行分析和求解
电容
电容上的电流和电压是线性微分关系:
电容上的电压和电流不是是线性微分关系
但在零状态情况下(电容无储能,初值为0),
则电压和电流的关系是线性积分关系:
电感
电感上电压和电流是线性微分关系
零状态条件下,电感上电流和电压是线性积分关系
示例
零状态条件下,激励和响应是线性关系


用处
可以先求解电路的零状态单位冲激响应,然后将其与激励进行卷积积分,从而求解任意激励下的零状态响应。