非线性电阻
2024/12/9大约 2 分钟
非线性电阻

例子

和线性电阻的区别
- 不再满足其次性和可加性
- 可能产生新的频率

分析含非线性电阻电路的方法
直接列方程法

图解法

分段线性法(假设检验法)

例题

性质

对二极管的几种建模方法
具体使用什么模型要看外部电路的电压和信号源的内阻是多少,要考虑选用某个模型时忽略掉的二极管的特性对外电路的影响程度。

计算含理想二极管的负载上的电压

计算含压降的二极管模型上的电压

假设检验法的应用:分析MOSFET的工作状态
用分段线性法对MOSFET建模

分析电路MOSFET的工作状态

假设检验法的应用:分析全桥整流电路

小信号法
为什么需要小信号法

概念放大器

对更一般化的问题的分析方法

小信号法是通过列些方程然后化简得到两个方程:求静态工作点的非线性方程,和求电路对小信号的响应的线性方程,然后通过这两个方程画出两个工作状态的电路图。
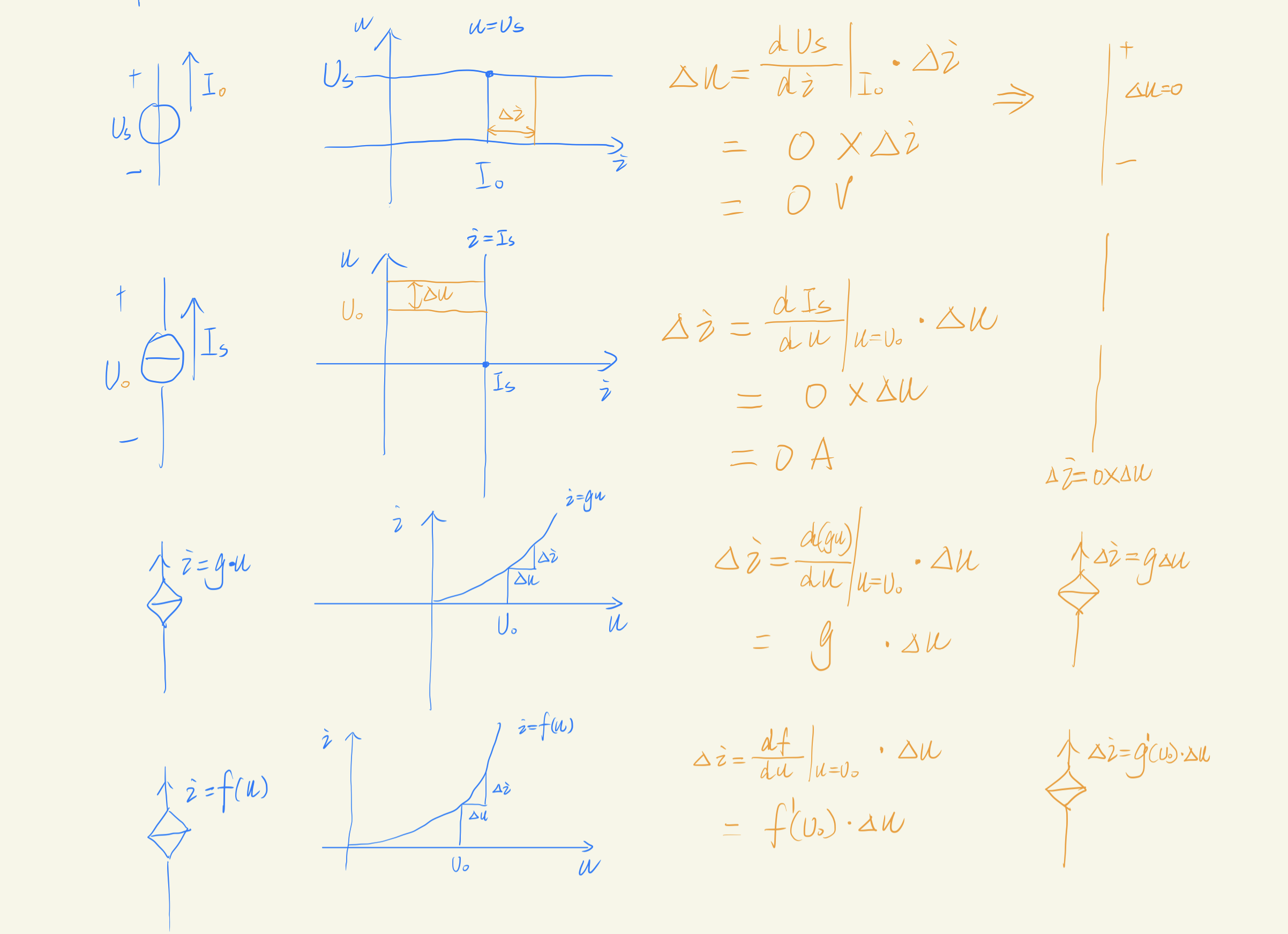
小信号模型
小信号模型不同于小信号法,是对小信号法的求解过程进行总结规律,通过探究小信号作用在独立源、受控源、线性电阻、非线性电阻上的电压电流关系,使得能够直接画出其静态工作电路和小信号源单独作用的电路。
小信号作用在非线性电阻、线性电阻上的等效

小信号作用在独立源、线性受控源、非线性受控源上的等效

小信号模型求解电路的例题

小信号模型分析由MOSFET构成的放大器电路
