一阶电路经典法
2024/12/10大约 3 分钟
一阶电路经典法
RC一阶电路
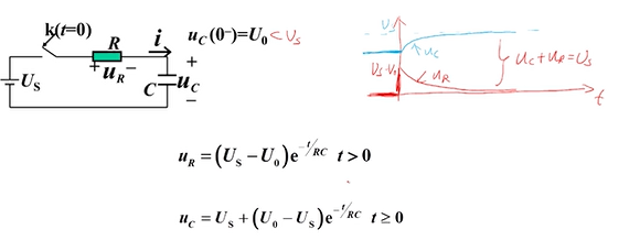
案例

1.列写方程(拓扑约束+元件约束)
2.求解方程
齐次项的解
- 假设解的形式为
- 带入原方程得到特征方程:
- 特征根:
- 微分方程的齐次通解:
非齐次项的解
是一个常数- 显然可得微分方程的非齐次特解:
通解=齐次通解+非齐次特解
3.确定初值
- 换路前:
- 换路后:
4.确定系数
将
t=0时:
得:
5.代入系数
RC一阶电路的时间常数

- 对RC一阶电路的两个支路量求解可以发现,
- 他们的指数项时相同的,意味着其变化速率也是相同的。
- 所以可以定义一个变量
称RC一阶电路的时间常数,单位秒。
RL一阶电路
案例

1.列写方程(拓扑约束+原件约束)
KVL
元件约束
整理
2.求解方程
齐次项的解
- 假设解的形式为
- 带入原方程得到特征方程:
- 特征根:
- 齐次通解:
3.确定初值
在t=0时刻,
4.确定系数
5.代入系数
RL一阶电路的时间常数
定义
称RL一阶电路的时间常数,单位秒。
关于τ的讨论

工程观点
- t=3τ,
=0.05 - t=5τ,
=0.007 所以可以认为,经过3~5τ的时间后,电路的过度过程完全结束。
规律
- τ越小,电路的过渡过程越快
- τ越大,电路的过渡过程越慢
区别
R越大,τ越大,R增大的作用是减缓电容上电荷被中和的速度 R越小,τ越大,R减小的作用是增大L的续流能力保持电感建立的磁场。
总结
一阶电路经典法求解
- 列写所关心支路量
的常微分方程(拓扑约束+原件约束) - 根据换路定律,求
时刻的数值 - 求微分方程
- 方程是齐次微分方程,求其齐次通解
- 方程是非齐次微分方程,求其齐次通解+非齐次特解
- 通过
来确定齐次通解的待定系数