3_变声的基础原理_理解卷积的含义_线性时不变系统的冲激响应与卷积
《高级控制理论——数学基础》学习笔记
3_变声的基础原理_理解卷积的含义_线性时不变系统的冲激响应与卷积
一、线性时不变系统(Linear Time-Invariant System)
1.1 线性性质
引入系统算符
系统满足线性性质当且仅当以下两个条件同时成立:
(1)可加性:
(2)齐次性:
将可加性与齐次性结合,得到叠加原理:
1.2 时不变性质
系统满足时不变性质是指:如果系统对输入
物理意义:无论在什么时刻对系统施加相同的输入,系统的输出波形保持不变,仅产生相应的时间延迟。
1.3 线性时不变系统示例
弹簧-阻尼系统
弹簧振动阻尼系统是典型的线性时不变系统。以欠阻尼系统为例:

系统动力学方程为:
其中:
:施加的外力(系统输入) :质量块的位移(系统输出) :质量 :阻尼系数 :弹簧刚度
当施加一个短暂冲击力时,系统响应如图所示:

系统表现出振荡衰减特性,最终因阻尼作用趋于零。
1.4 传递函数表示
在频域中,线性时不变系统可用传递函数框图表示:

数学表达式为:
其中:
:输入的拉普拉斯变换 :系统的传递函数 :输出的拉普拉斯变换
传递函数与卷积的关系
对上述频域方程进行拉普拉斯逆变换:
根据拉普拉斯变换的卷积定理,时域中两函数乘积的逆变换等于原函数的卷积:
其中
二、卷积的直观理解与数学推导
2.1 直观理解:叠加原理的应用
将连续输入信号
在第
- 矩形脉冲高度:
(代表该时刻外力的大小,单位:N) - 矩形脉冲宽度:
(力的作用持续时间) - 矩形脉冲面积(冲量):
(单位:N·s,表示该时间段内力对系统施加的冲量)

根据叠加原理:
- 第
个矩形脉冲的独立响应: - 系统在任意时刻
的总响应为所有历史脉冲响应的叠加:
当
2.2 数学推导:基于狄拉克δ函数
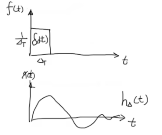
单位冲激函数的定义
狄拉克δ函数(Dirac Delta Function)定义为:
δ函数具有宽度为零、面积为1的特性,是广义函数。
δ函数的构造序列
定义单位矩形脉冲函数:
该函数面积为:

取极限:
系统对δ函数的响应
定义系统的冲激响应
对有限宽脉冲

2.3 利用线性时不变性质推导卷积公式
步骤1:时不变性
若输入延迟

步骤2:齐次性(放大)
将输入放大
步骤3:与连续输入的联系
令
下表总结了输入-响应对应关系:
| 系统输入 | 系统响应 | 说明 |
|---|---|---|
| 单位脉冲响应 | ||
| 时不变:延迟输入得到延迟响应 | ||
| 齐次性:放大输入得到放大响应 | ||
| 离散化后第 |
步骤4:叠加原理求和
根据可加性,将时刻
步骤5:取极限得到卷积积分
令
(1)时间变量
当时间间隔无限细分时,离散索引
- 在
过程中,求和上限 - 每个离散时间点
填满区间 - 引入连续变量
,则
(2)微元
从黎曼积分的定义出发:
其中
(3)冲激响应的收敛
根据
此处利用了系统算符
(4)求和向积分的转化
综合以上分析,离散求和转化为连续积分:
此即卷积积分公式。
2.4 传递函数与冲激响应的关系
线性时不变系统的冲激响应
(1)从频域验证
对冲激响应进行拉普拉斯变换:
由于
(2)物理意义
- 冲激响应
携带了系统的全部动态特性(频率、阻尼、相位等) - 对于任意输入
,通过 即可求得系统输出 - 这解释了为何传递函数用
表示: 正是冲激响应的频域表示

三、应用:变声技术的基础原理
3.1 空间冲激响应
根据上述理论,如果能够获得某空间环境的单位冲激响应,将该冲激响应与任意音频信号卷积,即可得到在该环境中录制该音频的效果。
物理过程示例:
在浴室环境中,用饭勺或擀面杖猛烈敲击,产生持续时间极短、能量集中的声音。此声音可近似为δ函数,其在空间中产生的混响效果即该空间的单位冲激响应
3.2 卷积变声
设干声(原始人声)信号为
技术实现流程:
- 采集冲激响应:录制击掌声、气球爆破声等作为环境的单位冲激响应
- 录制干声:在消声室或安静环境中录制原始人声
- 卷积运算:通过数字信号处理算法计算两信号的卷积
- 输出结果:得到包含空间环境音效的合成音频
此原理广泛应用于:
- 音乐制作(混响效果器)
- 电影音效处理
- 游戏音频设计
- 虚拟现实环境模拟
四、总结
| 要点 | 内容 |
|---|---|
| 线性时不变系统 | 满足叠加原理 |
| 冲激响应 | 系统对单位冲激输入 |
| 卷积积分 | |
| 传递函数 | |
| 物理直观 | 将连续输入分解为若干窄脉冲,利用线性时不变性质叠加各脉冲响应,取极限得到卷积积分 |
| 狄拉克δ函数 | 宽度为零、面积为1的广义函数, |
| 卷积定理 | |
| 核心应用 | 变声与混响技术: |
| 工程意义 | 冲激响应完全定义线性时不变系统,通过一次测量即可获得系统全部动态特性,用于音频处理、信号滤波等领域 |